Viking smallpox diversity
Humans have a notable capacity to withstand the ravages of infectious diseases. Smallpox killed millions of people but drove Jenner’s invention of vaccination, which eventually led to the annihilation of this virus, declared in 1980. To investigate the history of smallpox, Mühlemann et al. obtained high-throughput shotgun sequencing data from 1867 human remains ranging from >31,000 to 150 years ago (see the Perspective by Alcamí). Thirteen positive samples emerged, 11 of which were northern European Viking Age people (6th to 7th century CE). Although the sequences were patchy and incomplete, four could be used to infer a phylogenetic tree. This showed distinct Viking Age lineages with multiple gene inactivations. The analysis pushes back the date of the earliest variola infection in humans by ∼1000 years and reveals the existence of a previously unknown virus clade.
Structured Abstract
INTRODUCTION
Variola virus (VARV), the causative agent of smallpox, is estimated to have killed between 300 million and 500 million people in the 20th century and was responsible for widespread mortality and suffering for at least several preceding centuries. Humans are the only known host of VARV, and smallpox was declared eradicated in 1980. The timeline of the emergence of smallpox in humans is unclear. Based on sequence data up to 360 years old, the most recent common ancestor of VARV has been dated to the 16th or 17th century. This contrasts with written records of possible smallpox infections dating back at least 3000 years and mummified remains suggestive of smallpox dating to 3570 years ago.
RATIONALE
Ancient virus sequences recovered from archaeological remains provide direct molecular evidence of past infections, give detail of genetic changes that have occurred during the evolution of the virus, and can reveal viable virus sequence diversity not currently present in modern viruses. In the case of VARV, ancient sequences may also reduce the gap between the written historical record of possible early smallpox infections and the dating of the oldest available VARV sequences. We therefore screened high-throughput shotgun sequencing data from skeletal and dental remains of 1867 humans living in Eurasia and the Americas between ~31,630 and ~150 years ago for the presence of sequences matching VARV.
RESULTS
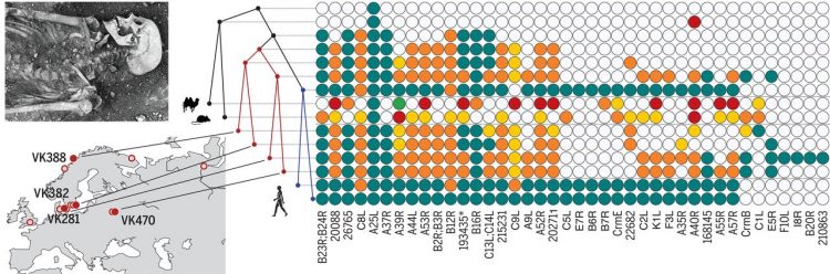
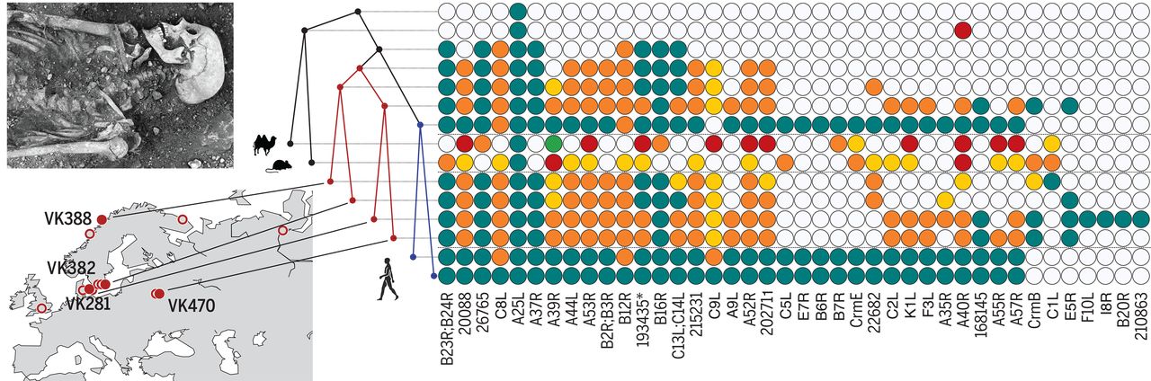
VARV sequences were recovered from 13 northern European individuals, including 11 dated to ~600–1050 CE, overlapping the Viking Age, and we reconstructed near-complete VARV genomes for four of them. The samples predate the earliest confirmed smallpox cases by ~1000 years. Eleven of the recovered sequences fall into a now-extinct sister clade of the modern VARVs in circulation prior to the eradication of smallpox, while two sequences from the 19th century group with modern VARV. The inferred date of the most recent common ancestor of VARV is ~1700 years ago.
The number of functional genes is generally reduced in orthopoxviruses with narrow host ranges. A comparison of the gene content of the Viking Age sequences shows great contrast with that of modern VARV. Three genes that are active in all modern VARV sequences were inactive over 1000 years ago in some or all ancient VARV. Among 10 genes inactive in modern and Viking Age VARV, the mutations causing the inactivations are different and the genes are predicted to be active in the ancestor of both clades, suggesting parallel evolution. Fourteen genes inactivated in modern VARV are active in some or all of the ancient sequences, eight of which encode known virulence factors or immunomodulators. The active gene counts of the four higher-coverage Viking Age viral genomes provide snapshots from an ~350-year period, showing the reduction of gene content during the evolution of VARV. These genomes support suggestions that orthopoxvirus species derive from a common ancestor containing all genes present in orthopoxviruses today, with the reduction in active gene count conjectured to be the result of long-term adaptation within host species.
CONCLUSION
The Viking Age sequences reported here push the definitive date of the earliest VARV infection in humans back by ~1000 years. These sequences, combined with early written records of VARV epidemics in southern and western Europe, suggest a pan-European presence of smallpox from the late 6th century. The ancient viruses are part of a previously unknown, now-extinct virus clade and were following a genotypic evolutionary path that differs from modern VARV. The reduction in gene content shows that multiple combinations of active genes have led to variola viruses capable of circulating widely within the human population.
(Top left) Sample VK533 with dagger, in situ. (Bottom left) Positive sample locations. Higher- and lower-coverage samples have solid and open circles, respectively. (Right) Diverse gene inactivation patterns in the four higher-coverage 600–1000 CE Viking Age sequences, within clade and as compared to sequences from other human VARVs and the phylogenetically nearest animal poxviruses, camelpox and taterapox. Open circles show intact genes, circle colors (independent for each gene) indicate different inactivations. Gene names at the bottom.
Abstract
Smallpox, one of the most devastating human diseases, killed between 300 million and 500 million people in the 20th century alone. We recovered viral sequences from 13 northern European individuals, including 11 dated to ~600–1050 CE, overlapping the Viking Age, and reconstructed near-complete variola virus genomes for four of them. The samples predate the earliest confirmed smallpox cases by ~1000 years, and the sequences reveal a now-extinct sister clade of the modern variola viruses that were in circulation before the eradication of smallpox. We date the most recent common ancestor of variola virus to ~1700 years ago. Distinct patterns of gene inactivation in the four near-complete sequences show that different evolutionary paths of genotypic host adaptation resulted in variola viruses that circulated widely among humans.


