Abstract
BACKGROUND: There is a dearth of evidence regarding the association of use of electronic cigarettes (e-cigarettes) with certain product characteristics and adolescent and young adult risk of unhealthy tobacco use patterns (eg, frequency of combustible cigarette smoking), which is needed to inform the regulation of e-cigarettes.
METHODS: Data were collected via an online survey of participants in the Southern California Children’s Health Study from 2015 to 2016 (baseline) and 2016 to 2017 (follow-up) (N = 1312). We evaluated the association of binary categories of 3 nonmutually exclusive characteristics of the e-cigarette used most frequently with the number of cigarettes smoked in the past 30 days at 1-year follow-up. Product characteristics included device (vape pen and/or modifiable electronic cigarette [mod]), use of nicotine in electronic liquid (e-liquid; yes or no), and use for dripping (directly dripping e-liquid onto the device; yes or no).
RESULTS: Relative to never e-cigarette users, past-30-day e-cigarette use was associated with greater frequency of past-30-day cigarette smoking at follow-up. Among baseline past-30-day e-cigarette users, participants who used mods (versus vape pens) smoked >6 times as many cigarettes at follow-up (mean: 20.8 vs 1.3 cigarettes; rate ratio = 6.33; 95% confidence interval: 1.64–24.5) after adjustment for sociodemographic characteristics, baseline frequency of cigarette smoking, and number of days of e-cigarette use. After adjustment for device, neither nicotine e-liquid nor dripping were associated with frequency of cigarette smoking.
CONCLUSIONS: Baseline mod users (versus vape pen users) smoked more cigarettes in the past 30 days at follow-up. Regulation of e-cigarette device type warrants consideration as a strategy to reduce cigarette smoking among adolescents and young adults who vape.
- CI —
- confidence interval
- e-cigarette —
- electronic cigarette
- e-liquid —
- electronic liquid
- mod —
- modifiable electronic cigarette
- RR —
- rate ratio
What’s Known on This Subject:
Electronic cigarette (e-cigarette) use has been associated with cigarette initiation and greater frequency of smoking among adolescents. It is not yet known whether there are certain product characteristics of e-cigarettes that may increase the frequency of cigarette smoking at follow-up.
What This Study Adds:
Young adults using modifiable (versus penlike) e-cigarette devices at baseline smoked >6 times as many cigarettes in the past 30 days at follow-up. Regulation of e-cigarette product characteristics might reduce the transition from e-cigarettes to heavier cigarette-smoking patterns.
The recent increase in the prevalence of past-30-day electronic cigarette (e-cigarette) use among high school students in the National Youth Tobacco Survey (up 78% from 11.3% in 2017 to 20.8% in 20181) and in the Monitoring the Future Study (up 90% from 11.0% in 2017 to 20.9% in 20182) has heightened concern regarding the public health impact of e-cigarettes among the youth and young adult populations. E-cigarettes are drawing in at least some low-risk youth unlikely to have otherwise smoked combustible cigarettes,3,4 and a growing number of studies reveal that among both youth and young adults, e-cigarette users (versus never users) are more likely to (1) subsequently initiate combustible cigarette use5–21 and (2) follow a trajectory into more regular smoking similar to smokers who did not first use e-cigarettes.22,23 Yet, it is unclear whether there are e-cigarette product characteristics that may impact these transitions. If so, such characteristics could be prime targets for regulation to reduce the overall adverse public health burden of e-cigarettes in adolescent and young adult populations.
To help guide regulatory strategies, data are urgently needed on factors that differentiate the risk of transition from e-cigarettes to heavier patterns of combustible cigarette use. The use of e-cigarettes with a higher nicotine level has been associated with an increased likelihood of combustible cigarette initiation17,24 and both greater frequency of cigarette use in the past month and more cigarettes smoked per day at follow-up.24 Other product characteristics that are amenable to regulation may also promote or discourage the transition to combustible tobacco use but have not yet been thoroughly investigated. For example, modifiable electronic cigarettes (mods) (which have components that can be modified [eg, battery, temperature, and power] to change the relative amount of nicotine delivery and size of the vape cloud) or vape-pen–style e-cigarettes (which have a penlike shape and no modifiable parts and generally deliver a consistent, although relatively lower, level of nicotine) are more commonly used among youth and young adults than cigalike e-cigarette devices (devices that look like cigarettes and generally deliver nicotine relatively inefficiently)25 and have been associated with a greater number of days of cigarette use and symptoms of dependence.26 Mod devices are also often used for “dripping”27 (directly dropping electronic liquid [e-liquid] solution onto coils of the e-cigarette to produce thick smoke and a high level of nicotine), although no data are available on whether the use of devices for dripping increases the likelihood or frequency of combustible tobacco product use. Moreover, researchers to date have not disentangled the independent product characteristics that pose greater risk for subsequent higher-frequency cigarette smoking. Such findings would provide regulatory authorities with information to guide prioritization of policy changes specific to product characteristics.
In the current study, we examine whether the use of e-cigarettes with varying product characteristics (device type, use of nicotine, and use for dripping) is associated with the number of cigarettes smoked in the past 30 days ∼1 year later among young adults in the Southern California Children’s Health Study.
Methods
Participants
Data for the current study were collected from students participating in the Southern California Children’s Health Study.28,29 We first collected data on specific characteristics of e-cigarettes from past-30-day users from April 2015 to October 2016 (baseline for the current study; mean age = 18.9 years; SD = 0.6); follow-up data were collected ∼1 year later from October 2016 to November 2017 (follow-up; mean age = 20.2 years; SD 0.6). Analyses were restricted to participants who reported whether they had ever used e-cigarettes at baseline and who completed a follow-up questionnaire (N = 1312; Supplemental Fig 2).
Ethics Statement
This study was approved by the University of Southern California Institutional Review Board. All participants were ≥18 years of age at baseline and provided informed consent before data collection.
Measures
E-cigarette Use
At baseline, participants reported the age at which they first used e-cigarettes and the number of days that they had used e-cigarettes in the past 30 days. Participants who reported that they had never used e-cigarettes were classified as “never users,” those who reported an age of first use of e-cigarettes but no use in the past 30 days were considered “previous users,” and those who reported use on ≥1 of the past 30 days were considered “past-30-day users.” Participants missing data on e-cigarette use at baseline were excluded from analyses (n = 105).
E-cigarette Characteristics
Among baseline past-30-day e-cigarette users, 3 e-cigarette characteristics were assessed: (1) device type, (2) nicotine level, and (3) dripping. Participants were asked to select the type of e-cigarette device they had used most often in the past 30 days (disposable and/or cigalike; vape pen and/or penlike; or mod, mechanical mod, and/or box mod [variations of modifiable devices]). For analyses, the type of device was dichotomized (vape pen versus mod) because there were few participants reporting primary use of a disposable device (n = 2). All past-30-day e-cigarette users were asked to report the level of nicotine used (no nicotine use or 1–3 or ≥4–6 mg/mL). Participants also reported whether they had ever dripped with an e-cigarette device (yes versus no). Participants missing data for product characteristic variables were excluded from analyses for the corresponding exposure (n = 31 participants missing data for all e-cigarette characteristics).
Cigarette Use
We used questionnaire items to assess cigarette smoking using similar questions to those for e-cigarette use; participants who reported that they had never tried a product were classified as never users, participants who reported the age they first smoked cigarettes but did not report use of cigarettes in the past 30 days were classified as previous users, and participants who had smoked cigarettes on ≥1 of the past 30 days were classified as past-30-day users. In addition, participants who reported use of cigarettes in the past 30 days were also asked about the number of cigarettes they had smoked in the past 30 days at each wave. Participants with missing data on cigarette use at either baseline (n = 14) or follow-up (n = 61) were excluded from analyses.
Sociodemographic Characteristics
Self-administered questionnaires were used to assess sex, ethnicity (Hispanic white, non-Hispanic white, African American, Asian American, and other), and parental education (highest level of education of either parent; ≤12th grade, some college, or college degree or higher). Missing data on covariates were accounted for by a missing-indicator approach to allow inclusion in analyses to maintain a complete sample.30
Statistical Analysis
Descriptive Analyses
The distribution of number of cigarettes smoked was highly right skewed because of a large number of participants reporting having smoked 0 cigarettes in the past 30 days. Violin plots (which include a mirrored kernel density plot to display the frequency of data at each value along the x-axis) combined with boxplots (which display the interquartile range and median) were used to illustrate the distributions of the number of cigarettes smoked in the past 30 days at follow-up by strata of each demographic variable (sex, race and/or ethnicity, and parental education), baseline e-cigarette use (never, previous, or past 30 days), and characteristics of e-cigarette use at baseline (device type, use of nicotine, and use for dripping).
Model Selection
Given the highly right-skewed distributions of the number of cigarettes used in the past 30 days at follow-up, multiple models were evaluated to determine which best fit the data, including linear regression (with log-transformed outcome), Poisson regression, negative binomial regression, zero-inflated Poisson regression, zero-inflated negative binomial regression, generalized Poisson regression, generalized negative binomial regression, and hurdle models. Models reported herein are those that were determined to be the best fit on the basis of the Akaike information criterion,31 which was assessed separately for each model, in combination with evaluation of the significance of additional dispersion parameters in complex models to determine if a complex model is a better fit for the data than a simple model.
Association of Baseline E-cigarette Use With Varying Product Characteristics With the Number of Cigarettes Smoked at Follow-up
In the first set of models (model 1), we evaluated the association of e-cigarette use across different strata of a given product characteristic at baseline in the entire sample (eg, never use, previous e-cigarette use, e-cigarette use in the past 30 days using a vape pen, and e-cigarette use in the past 30 days using a mod) with the number of cigarettes smoked in the past 30 days at follow-up (adjusted for demographic characteristics), number of cigarettes smoked at baseline, and number of days e-cigarettes were used in the past 30 days at baseline. A second set of models (model 2) was restricted to past-30-day e-cigarette users at baseline to compare the effect of each product characteristic (eg, for device type: vape pen versus mod) among recent users on subsequent frequency of cigarette smoking. In a third set of models (model 3), we included statistically significant product characteristics identified in model 2 to examine whether some product characteristics were stronger risk factors for cigarette-smoking frequency after adjusting for other product characteristics. For all models, rate ratio (RR) estimates were calculated by exponentiating each β estimate; 95% confidence intervals (CIs) are also reported.
All models were adjusted for sex, race and/or ethnicity (collapsed to a 3-level variable: non-Hispanic white, Hispanic white, and other), highest parental education, number of cigarettes smoked at baseline, and number of days of e-cigarette use at baseline; a random effect for community was included when statistically significant. All statistical analyses were based on 2-sided hypotheses tested at a 0.05 level of significance. Analyses were performed by using SAS version 9.4 (SAS Institute, Inc, Cary, NC), and data manipulation and graphics were generated by using the ggplot2 package in R version 3.4.4.
Results
Descriptive Analyses
Demographic Characteristics
More participants were female (52.2%), and approximately one-half of the sample was Hispanic white (48.4%); a plurality had parents who had completed some college (35.0%), with similar proportions of the sample reporting parents with a high school degree or less (29.8%) or with a college degree (29.4%) (Table 1). Overall, 36.9% of youth reported having ever used e-cigarettes at baseline, with 26.4% of participants reporting previous use but no use in the past 30 days and 10.5% of participants reporting past-30-day e-cigarette use. Participants lost to follow-up were more likely to be male, less likely to have parents with a college degree, and more likely to be past-30-day e-cigarette users (and less likely to be previous e-cigarette users) compared with those included in the analytic sample; no differences by race and/or ethnicity were observed (Supplemental Table 3).
Participant Characteristics at Baseline and Association of Each Characteristic With Number of Cigarettes Smoked in the Past 30 Days at Follow-up (N = 1312)
The number of cigarettes smoked in the past 30 days at follow-up was higher for male participants (versus female participants) and for those with parents who had some college or a college degree or higher (versus a high school degree or less) (Supplemental Fig 3A, Table 1). No differences were observed by ethnicity. Similar patterns emerged in the sample restricted to past-30-day e-cigarette users at baseline (Supplemental Fig 3B).
Association of Baseline E-cigarette Use With Subsequent Smoking Frequency
Participants who reported previous or past-30-day e-cigarette use at baseline reported a higher average number of cigarettes smoked in the past 30 days at follow-up (mean number of cigarettes smoked: never e-cigarette users = 1.86 [SE = 0.88]; previous users = 13.0 [SE = 6.34]; past-30-day users = 15.4 [SE = 4.39]) (Supplemental Fig 3A, Table 1). Participants reporting previous e-cigarette use but no use in the past 30 days at baseline smoked an average of 3.47 (95% CI: 2.46–4.91) times as many cigarettes at follow-up as baseline never e-cigarette users, and past-30-day e-cigarette users at baseline smoked an average of 5.42 (95% CI: 2.56–11.5) times as many cigarettes at follow-up in adjusted models.
Similar patterns were observed for the association of baseline cigarette use with subsequent smoking frequency, in which the most frequent smoking at follow-up was observed for baseline past-30-day cigarette smokers (Table 1).
Cigarette Smoking at Follow-up by Use of E-cigarettes With Varying Product Characteristics
Descriptive Analyses
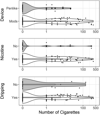
As illustrated in Fig 1, the number of cigarettes smoked in the past 30 days differed by some e-cigarette characteristics among participants who had used e-cigarettes in the past 30 days at baseline. Adolescents using a penlike device (n = 36; 26.5% of past-30-day e-cigarette users) smoked, on average, few cigarettes in the past 30 days at follow-up (mean number of cigarettes smoked = 1.3 [SE = 0.6]; Fig 1, Table 2) compared with those using a mod device (n = 100; 73.5%; mean number of cigarettes smoked at follow-up = 20.8 [SD = 6.0]). The number of cigarettes smoked at follow-up did not vary substantially by baseline use of nicotine (no nicotine [n = 20 (17.5%)]: mean number of cigarettes = 15.8 [SE = 14.3] versus low nicotine [1–3 mg/mL; n = 65 (57.0%)]: mean number cigarettes smoked = 14.5 [SE = 5.7] versus high nicotine [≥4–6 mg/mL; n = 29 (25.4%)]: mean number cigarettes smoked = 24.9 [SE = 13.2]) or by use of e-cigarettes for dripping (no [n = 17 (13.5%)]: mean number of cigarettes smoked = 14.1 [SE = 8.8] versus yes [n = 109 (86.5%)]: mean number of cigarettes smoked = 17.1 [SE = 2.4]).
The distribution of past-30-day cigarette use at follow-up by 3 e-cigarette characteristics of current e-cigarette at baseline: device type (penlike versus mods), nicotine (yes or no), and use of e-cigarettes for dripping (yes or no). The points (jittered for clarity) show the number of past-30-day cigarettes smoked at follow-up by 3 e-cigarette characteristics along with violin plots and boxplots describing corresponding distributions.
Association Between E-cigarette Characteristics at Baseline and Number of Cigarettes Smoked in the Past 30 Days at Follow-up (N = 1312)
E-cigarette Use (Versus Never Use) and Frequency of Cigarette Smoking (Model 1)
Participants using a penlike e-cigarette device at baseline smoked 2.83 times (95% CI: 1.26–6.35) as many cigarettes in the past 30 days at follow-up as those who had never used e-cigarettes, and participants using a mod device smoked 8.38 times (95% CI: 4.87–14.4) as many cigarettes in the past 30 days at follow-up (versus never e-cigarette users; model 1; Table 2) after adjustment for sociodemographic characteristics, number of cigarettes smoked, and days of e-cigarette use in the past 30 days at baseline. Elevated RRs were also observed for baseline past-30-day use of e-cigarettes without nicotine or with low or high nicotine and for use of e-cigarettes for dripping and not for dripping. In models restricted to participants who had never smoked cigarettes before the baseline wave, the mean number of cigarettes smoked at follow-up was lower among e-cigarette users for each product type. Patterns of associations were similar, although RRs tended to be substantially higher, albeit with wide CIs due to small sample sizes (results not tabulated). For example, participants who reported using penlike devices at baseline smoked 8.27 times as many cigarettes as never smokers in the past 30 days at follow-up (95% CI: 1.83–37.5); participants using mods smoked 11.5 times as many cigarettes in the past 30 days at follow-up relative to never e-cigarette users (95% CI: 3.12–42.5). Elevated RRs were observed for use of e-cigarettes without nicotine (versus never e-cigarette users) and for use of e-cigarettes with 1 to 3 mg of nicotine (versus never e-cigarette users); estimates could not be calculated for higher levels of nicotine (because of small sample size and lack of model convergence) or for use of e-cigarettes for dripping (or not for dripping) versus never e-cigarette users.
Among Baseline Past-30-Day E-cigarette Users: Association of E-cigarette Use Across Varying Product Characteristics and Frequency of Cigarette Smoking (Model 2)
In analyses restricted to participants reporting past-30-day use of e-cigarettes at baseline, adolescents using mods smoked an average of 5.11 (95% CI: 1.74–15.0) times as many cigarettes in the past 30 days at follow-up relative to adolescents using a penlike e-cigarette device at baseline (model 2, Table 2). Adolescents using low-nicotine–containing e-cigarette products smoked an average of 3.12 (95% CI: 0.82–11.9) times the number of cigarettes in the past 30 days at follow-up as those using e-cigarettes without nicotine, and those using high-nicotine–containing e-cigarette products smoked an average of 4.69 (95% CI: 1.12–19.6) times the number of cigarettes at follow-up (versus those not using nicotine). No association was observed for use of dripping and subsequent number of cigarettes smoked (RR = 1.07; 95% CI: 0.35–3.20).
Among Baseline Past-30-Day E-cigarette Users: Multiply Adjusted Models of E-cigarette Use With Varying Product Characteristics and Frequency of Cigarette Smoking (Model 3)
Given the associations of both device type and nicotine with frequency of cigarette smoking, a third set of models included both predictors simultaneously. When modeling both device type and use of nicotine in one model, only the association of device type with number of cigarettes smoked at follow-up remained elevated and statistically significant (RR = 6.31; 95% CI: 1.63–24.4).
Discussion
The results were consistent with previous findings also revealing that e-cigarette use in the past 30 days at baseline (versus no use) was associated with greater frequency of smoking at subsequent follow-up.22,23 In addition, we provide new evidence indicating that the type of device used (mod versus penlike device) is strongly associated with frequency of cigarette smoking at follow-up, whereas other product characteristics (including use of nicotine and use of e-cigarettes for dripping) were not associated with frequency of cigarette smoking.
We recently reported in an article pooling estimates across 8 different studies that the majority of youth and young adults were using later-generation devices (vape pens or mods), whereas few were using cigalike devices.25 In the current study, mod devices were more commonly used than vape pens. Given the wide variability in nicotine delivery across different devices, it is plausible that different devices may confer differential risks of transition between nicotine products. A large cross-sectional study of e-cigarette users reported that the transition from vape pens to mods was far more common than the reverse and that a majority of later-generation–device users reported use of a later-generation device to “obtain a more satisfying hit.”32,33 For the same e-liquid nicotine concentration, there are higher levels of nicotine delivery by mods, which typically include a larger battery, greater power, and higher temperature (all of which can be programmed even higher by the user); therefore, our findings that mods are associated with greater frequency of cigarette smoking at follow-up could be explained by higher levels of nicotine delivery and consumption and nicotine dependence in these individuals. Exposure to greater levels of nicotine may increase dependence on nicotine and thereby result in increases in smoking behavior to attain sufficient nicotine levels. Alternatively, adolescents and young adults may enjoy the sensations that accompany nicotine use and seek out other forms of nicotine. Findings of several smoke-machine studies33–35 and laboratory studies33,36,37 have revealed that later-generation devices (eg, mods) produce a greater volume of aerosol and higher nicotine yield than earlier-generation devices (eg, cigalikes or penlike devices) even when nicotine in the e-cigarette solution is held constant. Thus, nicotine dependence may explain part of this association, but in this population, a device that efficiently delivers nicotine did not protect against initiation or maintenance of combustible cigarettes.
We hypothesized that use of e-cigarette solutions with nicotine would be associated with subsequent greater frequency of cigarette smoking because nicotine would cause dependence, but differences in cigarettes smoked were small and not statistically significant after adjustment for the type of device used. The level of nicotine in the e-liquid has been shown to impact nicotine delivery,38–40 and previous studies have reported that level of nicotine in e-cigarette e-liquid was associated with frequency of e-cigarette use, cigarette use, and likelihood of cigarette initiation.17,24 However, no previous studies examining this association have accounted for the type of device used. It is possible that use of e-liquids with nicotine was not associated with number of cigarettes smoked because the type of device was a better predictor of effective nicotine dose than whether participants reported using nicotine. Participants who reported using e-cigarettes without nicotine may also be exposed to nicotine; numerous studies have shown that solutions labeled “nicotine free” may contain nicotine.41–49 It is also possible that if we had accurate estimates of e-liquid nicotine concentration, stronger associations would have been observed with subsequent smoking. Although some studies have reported decreasing levels of nicotine in e-liquids in later-generation e-cigarette devices, the effective dose may have been greater because of the more efficient and powerful later-generation mod devices available at the time of this study.50 Further observational and experimental study is warranted to understand the relationship between nicotine level in e-liquids, device type and effective nicotine dose, and dependence.
This study is subject to some limitations. Most participants reported use of multiple nontraditional e-cigarette flavors, which (1) reduced statistical power to detect differences between traditional and nontraditional flavors and (2) did not permit evaluation of the impact of specific flavors (eg, sweet versus fruit) on the frequency of cigarette smoking. Moreover, the prevalence of the use of penlike devices, use of non-nicotine e-liquids, and reporting of not using a product for dripping were low; thus, this study may have been underpowered to detect significant associations or significant interactions between product characteristics. Nevertheless, relative risks that were not statistically significant tended to be close to 1, suggesting that even with additional power, it is unlikely that significant associations would have been observed. We did not collect data on knowledge about nicotine or known harms of nicotine use; thus, we were unable to account for whether such characteristics may have confounded the observed associations. There were some sociodemographic differences between those included in the analytic sample and those lost to follow-up; although we cannot rule out the potential impact of selection bias, the estimated effects were robust to adjustment for these factors. This study used data from a cohort study of young adults in Southern California; as such, results may not be generalizable to younger adolescents or older adults or to other geographic regions within or outside of the United States with different regulatory environments or different racial and/or ethnic distributions. An important limitation was that the study largely took place before the popularization of pod-based e-cigarette products. Thus, continued research is needed to investigate whether and how such associations may change as the e-cigarette market evolves.
Conclusions
The use of mods (versus penlike e-cigarette devices) was strongly, positively associated with the number of cigarettes smoked ∼1 year later at follow-up. Additional research is needed to explore causal pathways for the observed associations. If these associations were causal, device type and characteristics may be a target for regulation to reduce the burden of tobacco-related disease that may result from adolescent and young adult vaping.
Footnotes
- Accepted February 19, 2020.
- Address correspondence to Jessica Barrington-Trimis, PhD, Department of Preventive Medicine, Keck School of Medicine, University of Southern California, 2001 N Soto St, 312G, Los Angeles, CA 90089. E-mail: jtrimis{at}usc.edu
-
FINANCIAL DISCLOSURE: The authors have indicated they have no financial relationships relevant to this article to disclose.
-
FUNDING: Supported by the National Cancer Institute of the National Institutes of Health and the Food and Drug Administration Center for Tobacco Products (grants P50CA180905 and U54CA180905), the National Institute on Drug Abuse of the National Institutes of Health (grant K01DA042950), and the Tobacco-Related Disease Research Program (grant 27-IR-0034). The funders had no role in the design and conduct of the study; collection, management, analysis, or interpretation of the data; or preparation, review, or approval of the article. Funded by the National Institutes of Health (NIH).
-
POTENTIAL CONFLICT OF INTEREST: Mr Urman began a position at Amgen on April 15, 2019, and did not contribute to the article after that date; the other authors have indicated they have no potential conflicts of interest to disclose.
- Copyright © 2020 by the American Academy of Pediatrics


